Всех, кого в Химках обещают расселить из ветхих домов, НАДУЛИ!
Поддержать нас можно тут.
Необходимость нового жилищного строительства власти Химок уже давно объясняют тем, что нужно расселять людей из ветхих домов. Так было в Сходне на публичных слушаниях по застройке Мичуринского тупика 22 января - якобы компания "Стройгрупп" будет сносить частные дома и строить многоэтажки с тем, чтобы вселить в новые квартиры жителей бараков.
Через неделю та же история повторилась на публичных слушаниях по застройке окраины Химкинского леса в Лобаново - представители компании "Дениз-Девелопмент" пообещали, что будут расселять ветхие и аварийные 2-этажки на ул. Павлова.
Активисты Химсовета не слишком поверили, ибо обещаниям уже более 10 лет, однако никого пока не расселили. Было проведено специальное расследование. Результаты оказались сенсационными.
Итак, 3 ноября 2011 года химкинская администрация выпустила постановление № 1606, которым была утверждена программа переселения граждан из ветхого и аварийного муниципального жилого фонда на 2011 - 2020 гг. Согласно данной программе, сносу и расселению подлежали следующие дома (на выделение цветом внимания не обращать):



Однако уже через 2 года данное постановление было отменено - другим постановлением, от 12 ноября 2013 г. № 1230.
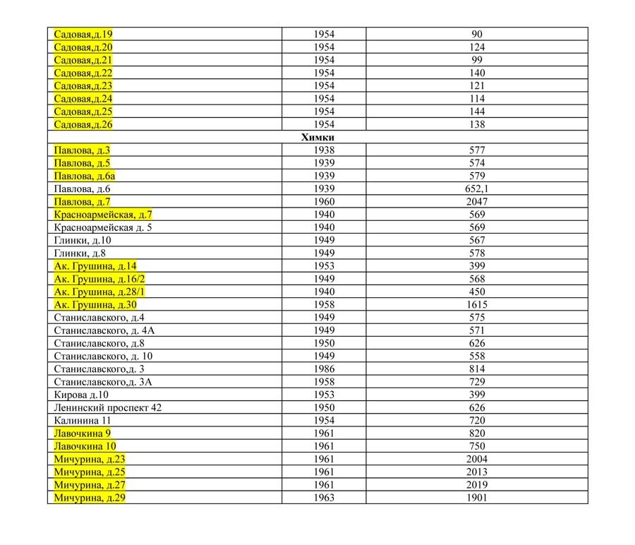
Взамен появилось постановление правительства Московской области от 27 декабря 2013 г. № 1188/58 Об утверждении региональной программы Московской области "Проведение капитального ремонта общего имущества в многоквартирных домах, расположенных на территории Московской области, на 2014-2038 годы". Вот эти дома в Химках, которые подлежат КАПИТАЛЬНОМУ РЕМОНТУ:


Сравним эти два списка, обратив внимание на выделенные желтым адреса, - и получится, что почти все дома, которые прежде собирались сносить и расселять, теперь просто отремонтируют! В том числе дома по ул. Павлова, расселить которые обещал "Дениз-Девелопмент".
Кстати, ОАО "Маяк" тоже обещает взамен 41-этажного строительства расселить дома в Сходне:

Правда "программы по расселению ветхого и жилого фонда", в которой собирается принять участие ОАО "Маяк", уже, получается, по факту нет, есть программа все застроить и ничем это не компенсировать.
ВНИМАНИЕ! Любое использование материалов допускается только при наличии гиперссылки на ecmo.ru
- Войдите, чтобы оставлять комментарии

Комментарии
12.02.2014 - 17:05 | Ищущий правду
Всё имеет свой логический конец
http://himki-po-novomu.livejournal.com/1652.html
11.02.2014 - 17:38 | Мнение по поводу
Если Вас десятки лет успокаивало присутствие в списках - пусть оно вас успокаивает и дальше. Теперь следите, чтоб вам в квитанциях до 2018г не засунули оплату кап.ремонта. А смуту вносить полезно - это хороший стимул для тех, кто успел "благословить" градостроительный беспредел в Химках, руководствуясь благими намерениями расселить ветхое жилье, но почему-то не "успел" заселить туда и полпроцента нуждающихся в расселении. Анализируйте список.
11.02.2014 - 16:48 | Игорь Мартынов
Что Вы несете??? Вот ссылка на программу http://www.admhimki.ru/docs/file/2014/february/gil_polit.rar, все дома остались!!!!! Не вносите смуту, я уж испугался и позвонил в администрацию , меня направили по выше ссылке и все там есть!!!! Согласно постановлению, старую программу отменили, а утвердили новую до 2018 года!
11.02.2014 - 10:48 | Вениамин Извеков
Боже! этот бардак в этой забытой тобой стране, когда-нибудь прекратися, или мы пожизненно обречены?